Quando se trata de um sistema elétrico em corrente contínua, especialmente em motorhomes que exigem alta eficiência e confiabilidade, há um fator que muitas vezes passa despercebido: a queda de tensão nos cabos. Invisível aos olhos, mas extremamente prejudicial ao desempenho dos equipamentos, essa perda de energia pode comprometer desde o funcionamento de um inversor até a autonomia total do veículo.
Sempre que uma corrente elétrica percorre um cabo de cobre, uma parte da energia é inevitavelmente “perdida” na forma de calor. Essa perda se traduz em uma redução da tensão disponível na extremidade do cabo — exatamente onde estão os dispositivos que mais precisam dela: inversores, controladores MPPT, carregadores, etc.
Esse fenômeno é conhecido como queda de tensão (voltage drop). Em sistemas de corrente alternada, isso pode ser tolerável até certo ponto. Mas em corrente contínua (DC), qualquer variação tem impacto direto e severo no funcionamento do sistema — ainda mais em tensões mais baixas como 12V ou 24V, onde perdas pequenas já representam porcentagens altas.
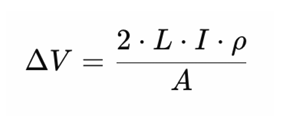
A fórmula clássica para determinar a queda de tensão em cabos de cobre é:

● ΔV é a queda de tensão (em volts)
● L é o comprimento total do cabo (ida e volta), em metros
● I é a corrente que passa pelo cabo, em amperes
● ρ é a resistividade do cobre (0,0175 Ω·mm²/m)
● A é a seção transversal do cabo, em milímetros quadrados (mm²)
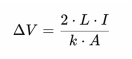
Para facilitar no dia a dia da instalação, técnicos e engenheiros muitas vezes usam uma versão simplificada:

Com k=56k = 56 para cabos de cobre, mantendo as unidades em metros, amperes e mm².
Vamos a um exemplo prático.
Imagine um sistema de 12V onde um inversor puxa 100A de corrente por um cabo de 5 metros (ida e volta: 10m), com bitola de 35 mm²:


Parece pouco? Em um sistema de 12V, isso representa uma perda de mais de 4%, o que ultrapassa a recomendação da Victron Energy, que orienta um máximo de 3% de queda de tensão, ou até 1% em conexões críticas de bateria e inversor.
Agora imagine o mesmo sistema com cabos de 16 mm². A perda ultrapassaria 1V, ou quase 10% da tensão total. O resultado? Desligamento inesperado do inversor, alarmes de undervoltage, aquecimento excessivo do cabo e eficiência drasticamente reduzida.
Mas há um detalhe ainda mais crítico — e menos intuitivo:
Quando ocorre queda de tensão, os equipamentos inteligentes tentam compensar essa perda aumentando a corrente.
Ou seja, para manter a potência constante (já que potência = tensão × corrente), o sistema exige mais amperagem. Isso gera um efeito em cascata:
● A corrente aumenta, gerando ainda mais queda de tensão (já que ela é diretamente proporcional à corrente).
● Os cabos aquecem mais, elevando a resistência elétrica.
● Os equipamentos trabalham mais aquecidos e sob maior esforço, consumindo mais energia para fazer a mesma tarefa.
● E como consequência, a autonomia do sistema diminui drasticamente.
Esse ciclo vicioso pode ser imperceptível num primeiro momento, mas ao longo do tempo compromete a saúde das baterias, reduz a vida útil dos inversores e, principalmente, gera desperdício de energia solar e autonomia — dois dos pilares mais importantes em um motorhome de alto desempenho.
Uma consequência pouco falada da queda de tensão excessiva é o surgimento do chamado ripple de tensão. Embora “ripple” seja um termo mais associado à corrente alternada residual em circuitos DC, na prática ele representa oscilações rápidas e indesejadas na tensão que alimenta os equipamentos.
E isso acontece por um motivo técnico: os cabos possuem resistência e indutância, ainda que pequenas. Quando a corrente varia (como em inversores que oscilam a milhares de ciclos por segundo), essa indutância age como um filtro, criando flutuações rápidas na tensão — o ripple.
Essas oscilações afetam inversores, controladores de carga, monitores de bateria e qualquer equipamento sensível. Entre os efeitos observados:
● Alarmes de tensão baixa mesmo com baterias cheias
● Desligamento aleatório de equipamentos
● Ruído audível (zumbido) em inversores
● Diminuição da vida útil de capacitores e eletrônicos
● Aquecimento nos terminais e conectores
De acordo com o livro Wiring Unlimited da Victron Energy, sistemas mal dimensionados não apenas perdem energia — eles se tornam instáveis, criando flutuações que afetam toda a rede DC.
A Victron Energy é clara em seus manuais:
“Excessive cable resistance can cause a voltage drop under load, which may lead to under-voltage errors or unwanted system shutdown.”
E mais:
“DC ripple can lead to noise, inefficiency, and damage to sensitive equipment. Proper wiring and low-resistance connections are crucial.”
Por isso, os dimensionamentos dos sistemas sempre partem da escolha correta de bitolas, conexões bem feitas e, acima de tudo, da compreensão de que a energia elétrica precisa de um caminho limpo e robusto para fluir.
Para evitar quedas de tensão e ripple, a Victron e a engenharia elétrica embarcada recomendam:
Quanto menor o comprimento e maior a bitola, menor a resistência. Evite passagens desnecessárias, enrolamentos ou extensões.
Nunca economize nas conexões de bateria, inversores e controladores MPPT. São os pontos mais exigidos.
Conexões frouxas ou mal prensadas criam pontos de aquecimento e ruído elétrico.
Esses equipamentos permitem verificar, em tempo real, se há variações perigosas na tensão.
Em vez de instalar primeiro e “ver depois”, é essencial fazer cálculos prévios. Isso evita retrabalho e falhas.
Quando construímos um motorhome aqui na Sem Fronteiras com autonomia elétrica total, estamos assumindo o compromisso de entregar um sistema tão confiável quanto uma rede elétrica residencial — mas que funciona em movimento, sob variações térmicas, vibrações e longos períodos fora da manutenção.
Nesse cenário, a queda de tensão é muito mais do que uma perda de energia. É um fator crítico de engenharia, que precisa ser calculado, antecipado e resolvido.
Por isso, na Sem Fronteiras, não dimensionamos cabos por “olhômetro” ou por economia. Cada milímetro quadrado, cada metro de fio, cada terminal é pensado para entregar o que prometemos: liberdade com responsabilidade.
Para que você possa saber exatamente o que fazer no seu motorhome, vou deixar um link para que você possa baixar gratuitamente o aplicativo que utilizamos para dimensionar cabos e checar a queda de tensão em sistemas.
Android
https://play.google.com/store/apps/details?id=nl.victronenergy.victronledapp&hl=pt_BR
Apple
https://apps.apple.com/br/app/victronconnect/id1084677271?mt=12
Se quiser saber mais, inscreva-se no nosso canal e acompanhe os vídeos toda quarta e domingo.